logo
Wersja dla niedowidzących
  4 Wojskowy Szpital Kliniczny z Polikliniką we Wrocławiu
      
corner
Statystyki
Rejestr zmian
Mapa strony
Instrukcja biuletynu
Pliki do pobrania
corner
  
corner corner
corner corner
 Zamówienia publiczne
plus PLAN POSTĘPOWAŃ O UDZIELENIE ZAMÓWIENIA PUBLICZNEGO
plus PLAN POSTĘPOWAŃ O UDZIELENIE ZAMÓWIENIA PUBLICZNEGO 2022
plus PLAN POSTĘPOWAŃ O UDZIELENIE ZAMÓWIENIA PUBLICZNEGO 2023
plus PLAN POSTĘPOWAŃ O UDZIELENIE ZAMÓWIENIA PUBLICZNEGO 2024
 Najem i dzierżawa
minus wynajem sal konferencyjnycj w 4.WSzKzP SPZOZ we Wrocławiu
 Konkurs ofert
minus OGŁOSZENIE O OTWARTYM NABORZE PARTNERÓW
plus Konkurs ofert - BANK KRWI
minus Ogłoszenie Wyników - Konkurs na udzielanie świadczeń zdrowotnych w zakresie: BADAŃ LABORATORYJNYCH, KONSULTACJA LEKARZA GENETYKA
plus Konkurs ofert na świadczenie w zakresie nocna i świąteczna opieka zdrowotna
 Praca w 4WSKzP
minus PROGRAM ROZWOJU ZAWODOWEGO DLA ABSOLWENTÓW PIELĘGNIARSTWA Edycja 2023
minus Ogłoszenie naboru na stanowisko Pielęgniarka/Pielęgniarz
minus Ogłoszenie naboru na stanowisko Pomoc Kuchenna
minus Ogłoszenie naboru na stanowisko Ratownik medyczny
minus Ogłoszenie naboru na stanowisko Opiekun medyczny
minus Ogłoszenie naboru na stanowisko Młodszy asystent- Klinika Kardiochirurgii
minus Ogłoszenie naboru na stanowisko Specjalista - Centrum Wsparcia Badań Klinicznych
minus Ogłoszenie naboru na stanowisko Specjalista - Sekcja Zamówień Publicznych
minus Ogłoszenie naboru na stanowisko Starszy Specjalista ds. Budowlanych– Dział Inwestycji
plus Ogłoszenie o konkursie na udzielanie świadczeń zdrowotnych w ramach umowy kontraktowej 41_2020
plus Ogłoszenie o konkursie na udzielanie świadczeń zdrowotnych w ramach umowy ZLECENIE 22/2020-psychiatria pielęgniarki
plus Ogłoszenie o konkursie na udzielanie świadczeń zdrowotnych w ramach umowy zlecenie 25/2020 patomorfologia, Zakład Radiologii
plus Ogłoszenie o konkursie na udzielanie świadczeń zdrowotnych w ramach umowy zlecenie nr 26/2020
plus Ogłoszenie o konkursie na udzielanie świadczeń zdrowotnych w ramach umowy kontraktowej 47/2020
plus Ogłoszenie o konkursie ofert na udzielanie świadczeń zdrowotnych w ramach umowy zlecenie przez ratowników medycznych nr 2.2021
plus Ogłoszenie o konkursie ofert na udzielanie świadczeń zdrowotnych w ramach umowy kontraktowej nr 29.2021 - lekarz
plus Ogłoszenie o konkursie na udzielanie świadczeń zdrowotnych w ramach umowy zlecenie 17_2021 -pielęgniarka
plus Ogłoszenie o konkursie ofert na udzielanie świadczeń zdrowotnych w ramach umowy kontraktowej nr 30.2021 - pielęgniarki
plus Ogłoszenie o konkursie na udzielanie świadczeń zdrowotnych w ramach umowy zlecenie 18_2021 -pielęgniarki, Oddział Chirurgii Naczyniowej, Oddział Dermatologiczno-Wenerologiczny
plus Ogłoszenie o konkursie na udzielanie świadczeń zdrowotnych w ramach umowy kontraktowej-31_2021 Oddział Chirurgi naczyniowej i transplantacyjnej, Oddział Onkologi Klinicznej
plus Ogłoszenie o konkursie ofert na udzielanie świadczeń zdrowotnych w ramach umowy zlecenie nr 19.2021 - pielęgniarka
plus Ogłoszenie o konkursie ofert na udzielanie świadczeń zdrowotnych w ramach umowy kontraktowej nr 35.2021 - lekarz
plus Ogłoszenie o konkursie na udzielanie świadczeń zdrowotnych w ramach umowy kontraktowej-37_2021 technik, pielęgniarka
plus Ogłoszenie o konkursie na udzielanie świadczeń zdrowotnych w ramach umowy zlecenie nr 20/2021, pielęgniarki
plus Ogłoszenie o konkursie na udzielanie świadczeń zdrowotnych w ramach umowy zlecenie nr 21/2021, ratownik, pielęgniarki
plus Ogłoszenie o konkursie na udzielanie świadczeń zdrowotnych w ramach umowy kontraktowej-41_2021 SOR, OIT
plus Ogłoszenie o konkursie na udzielanie świadczeń zdrowotnych w ramach umowy zlecenie 22/2021 -neurologia
minus Ogłoszenie naboru na stanowisko Starszego asystenta- Klinika Kardiochirurgii- Kliniczny Oddział Anestezjologii i Intensywnej Terapii II
plus Ogłoszenie o konkursie ofert na udzielanie świadczeń zdrowotnych w ramach umowy kontraktowej nr 46.2021 - lekarz
plus Ogłoszenie o konkursie na udzielanie świadczeń zdrowotnych w ramach umowy zlecenie 23/2021 -neurologia, neurochirurgia
plus Ogłoszenie o konkursie na udzielanie świadczeń zdrowotnych w ramach umowy zlecenie nr 24/2021,lekarze
plus Ogłoszenie o konkursie na udzielanie świadczeń zdrowotnych w ramach umowy kontraktowej-48/2021
plus Ogłoszenie o konkursie ofert na udzielanie świadczeń zdrowotnych w ramach umowy kontraktowej nr 50.2021 - pielęgniarka/pielęgniarz
plus Ogłoszenie o konkursie na udzielanie świadczeń zdrowotnych w ramach umowy zlecenie 26/2021
plus Ogłoszenie o konkursie na udzielanie świadczeń zdrowotnych w ramach umowy zlecenie 1/2022
plus Ogłoszenie o konkursie na udzielanie świadczeń zdrowotnych w ramach umowy zlecenie 2/2022
plus Ogłoszenie o konkursie ofert na udzielanie świadczeń zdrowotnych w ramach umowy kontraktowej nr 6.2022 - lekarz POZ
plus Ogłoszenie o konkursie ofert na udzielanie świadczeń zdrowotnych w ramach umowy kontraktowej nr 7.2022 - ratownik, technik, pielęgniarka
plus Ogłoszenie o konkursie na udzielanie świadczeń zdrowotnych w ramach umowy zlecenie 3/2022
plus Ogłoszenie o konkursie na udzielanie świadczeń zdrowotnych w ramach umowy zlecenie 4/2022
plus Ogłoszenie o konkursie na udzielanie świadczeń zdrowotnych w ramach umowy kontraktowej 8/2022
plus Ogłoszenie o konkursie ofert na udzielanie świadczeń zdrowotnych w ramach umowy kontraktowej nr 10.2022 - lekarze SOR
plus Ogłoszenie o konkursie na udzielanie świadczeń zdrowotnych w ramach umowy zlecenie 5/2022-pielegniarki
plus Ogłoszenie o konkursie na udzielanie świadczeń zdrowotnych w ramach umowy kontraktowej12/2022
plus Ogłoszenie o konkursie na udzielanie świadczeń zdrowotnych w ramach umowy kontraktowej 13/2022
plus Ogłoszenie o konkursie ofert na udzielanie świadczeń zdrowotnych w ramach umowy kontraktowej nr 15.2022 - pielęgniarka
plus Ogłoszenie o konkursie ofert na udzielanie świadczeń zdrowotnych w ramach umowy kontraktowej nr 16.2022 - lekarze
plus Ogłoszenie o konkursie na udzielanie świadczeń zdrowotnych w ramach umowy kontraktowej 17/2022-pięlęgniarki
plus Ogłoszenie o konkursie na udzielanie świadczeń zdrowotnych w ramach umowy kontraktowej 18/2022-lekarze
plus Ogłoszenie o konkursie na udzielanie świadczeń zdrowotnych w ramach umowy zlecenie 7/2022-lekarz
plus Ogłoszenie o konkursie ofert na udzielanie świadczeń zdrowotnych w ramach umowy kontraktowej nr 22.2022 - pielęgniarka
plus Ogłoszenie o konkursie ofert na udzielanie świadczeń zdrowotnych w ramach umowy kontraktowej nr 23.2022 - lekarze
minus Ogłoszenie o rozstrzygnięciu 9/2022
plus Ogłoszenie o konkursie ofert na udzielanie świadczeń zdrowotnych w ramach umowy kontraktowej nr 26.2022 - lekarz
minus Ogłoszenie o konkursie na udzielanie świadczeń zdrowotnych w ramach umowy kontraktowej 27/2022
plus Ogłoszenie o konkursie ofert na udzielanie świadczeń zdrowotnych w ramach umowy kontraktowej nr 29.2022 - lekarz
plus Ogłoszenie o konkursie na udzielanie świadczeń zdrowotnych w ramach umowy ZLECENIE 14/2022 -pięlęgniarka KOAiIT
plus Ogłoszenie o konkursie na udzielanie świadczeń zdrowotnych w ramach umowy ZLECENIE 15/2022 -pięlęgniarka, technik Kardiologia
plus Ogłoszenie o konkursie ofert na udzielanie świadczeń zdrowotnych w ramach umowy kontraktowej nr 32.2022 - lekarz
plus Ogłoszenie o konkursie na udzielanie świadczeń zdrowotnych w ramach umowy ZLECENIE 17/2022 -lekarze
plus Ogłoszenie o konkursie na udzielanie świadczeń zdrowotnych w ramach umowy kontraktowej 33/2022
plus Ogłoszenie o konkursie na udzielanie świadczeń zdrowotnych w ramach umowy ZLECENIE 16/2022 -pielęgniarka
plus Ogłoszenie o konkursie ofert na udzielanie świadczeń zdrowotnych w ramach umowy kontraktowej nr 36.2022 - lekarz
plus Ogłoszenie o konkursie na udzielanie świadczeń zdrowotnych w ramach umowy kontraktowej 35/2022-IOM
plus Ogłoszenie o konkursie na udzielanie świadczeń zdrowotnych w ramach umowy zlecenie 18/2022-pielęgniarki na Oddział Wewnętrzny
plus Ogłoszenie o konkursie ofert na udzielanie świadczeń zdrowotnych w ramach umowy kontraktowej nr 39.2022 - pielęgniarka
plus Ogłoszenie o konkursie ofert na udzielanie świadczeń zdrowotnych w ramach umowy kontraktowej nr 42.2022 - pielęgniarka, ratownik medyczny
plus Ogłoszenie o konkursie na udzielanie świadczeń zdrowotnych w ramach umowy kontraktowej 41/2022-lekarz rehabilitacja
plus Ogłoszenie o konkursie na udzielanie świadczeń zdrowotnych w ramach umowy zlecenie 19/2022-lekarz, diagnosta
plus Ogłoszenie o konkursie na udzielanie świadczeń zdrowotnych w ramach umowy zlecenie 20/2022-ratownicy,pielęgniarka
plus Ogłoszenie o konkursie ofert na udzielanie świadczeń zdrowotnych w ramach umowy kontraktowej nr 46.2022 - ratownik medyczny
plus Ogłoszenie o konkursie ofert na udzielanie świadczeń zdrowotnych w ramach umowy kontraktowej nr 47.2022 - lekarz
plus Ogłoszenie o konkursie na udzielanie świadczeń zdrowotnych w ramach umowy zlecenie 21/2022-ratownicy,pielęgniarka
plus Ogłoszenie o konkursie na udzielanie świadczeń zdrowotnych w ramach umowy kontraktowej 49/2022-PIELĘGNIARKA
plus Ogłoszenie o konkursie na udzielanie świadczeń zdrowotnych w ramach umowy kontraktowej 50/2022
plus Ogłoszenie o konkursie na udzielanie świadczeń zdrowotnych w ramach umowy kontraktowej 53/2022-lekarze
plus Ogłoszenie o konkursie na udzielanie świadczeń zdrowotnych w ramach umowy zlecenie-22/2022 lekarze
minus Ogłoszenie naboru na stanowisko Młodszy perfuzjonista - Klinika Kardiochirurgii
minus Ogłoszenie naboru na stanowisko Młodszy asystent - Kliniczny Oddział Anestezjologii i Intensywnej Terapii II
plus Ogłoszenie o konkursie ofert w ramach umowy kontraktowej nr 3/2023 - lekarze
plus Ogłoszenie o konkursie na udzielanie świadczeń zdrowotnych w ramach umowy ZLECENIE 2/2023-pielęgniarki Elektrofizjologia
plus Ogłoszenie o konkursie ofert na udzielanie świadczeń zdrowotnych w ramach umowy kontraktowej nr 13.2023 - lekarz
plus Ogłoszenie o konkursie ofert na udzielanie świadczeń zdrowotnych w ramach umowy kontraktowej nr 12.2023 - lekarz
minus Ogłoszenie naboru na stanowisko Starsza położna- Poradnia Ginekologiczno-Onkologiczna
minus Ogłoszenie naboru na stanowisko Zastępca Dyrektora ds. medycznych - Centrum Wsparcia Badań Klinicznych
plus Ogłoszenie o konkursie ofert na udzielanie świadczeń zdrowotnych w ramach umowy kontraktowej nr 16.2023 - pielęgniarka, ratownik medyczny, technik rtg
plus Ogłoszenie o konkursie ofert na udzielanie świadczeń zdrowotnych w ramach umowy kontraktowej nr 19.2023 - lekarz
minus Ogłoszenie naboru na stanowisko Pielęgniarka - Stacja Dializ
plus Ogłoszenie o konkursie ofert na udzielanie świadczeń zdrowotnych w ramach umowy kontraktowej nr 22.2023 - lekarz
plus Ogłoszenie o konkursie ofert na udzielanie świadczeń zdrowotnych w ramach umowy kontraktowej nr 23.2023 - lekarz
plus Ogłoszenie o konkursie ofert na udzielanie świadczeń zdrowotnych w ramach umowy kontraktowej nr 27.2023 - lekarz
plus Ogłoszenie o konkursie ofert na udzielanie świadczeń zdrowotnych w ramach umowy kontraktowej nr 29.2023 - lekarz
plus Ogłoszenie o konkursie ofert na udzielanie świadczeń zdrowotnych w ramach umowy kontraktowej nr 30.2023 - lekarz
plus Ogłoszenie o konkursie ofert na udzielanie świadczeń zdrowotnych w ramach umowy kontraktowej nr 33.2023 - lekarz
plus Ogłoszenie o konkursie ofert na udzielanie świadczeń zdrowotnych w ramach umowy kontraktowej nr 35.2023 - lekarz
plus Ogłoszenie o konkursie ofert na udzielanie świadczeń zdrowotnych w ramach umowy kontraktowej nr 37.2023 - lekarz
plus Ogłoszenie o konkursie ofert na udzielanie świadczeń zdrowotnych w ramach umowy kontraktowej nr 39.2023 - lekarz
plus Ogłoszenie o konkursie ofert na udzielanie świadczeń zdrowotnych w ramach umowy kontraktowej nr 45.2023 - lekarz
plus Ogłoszenie o konkursie na udzielanie świadczeń zdrowotnych w ramach kumowy zlecenie 20_2023-diagnosta laboratoryjny
plus Ogłoszenie o konkursie na udzielanie świadczeń zdrowotnych w ramach umowy kontraktowej-49_2023
plus Ogłoszenie o konkursie ofert na udzielanie świadczeń zdrowotnych w ramach umowy kontraktowej nr 50.2023 - pielęgniarka/pielęgniarz
minus Ogłoszenie naboru na stanowisko Informatyk - Sekcja Cyberbezpieczeństwa
plus Ogłoszenie o konkursie ofert na udzielanie świadczeń zdrowotnych w ramach umowy kontraktowej nr 54.2023 - lekarz
minus Ogłoszenie naboru na stanowisko Informatyk - Sekcja Utrzymania Systemów Medycznych
plus Ogłoszenie o konkursie na udzielanie świadczeń zdrowotnych w ramach umowy zlecenie 21_2023-PIELĘGNIARKI,TECHNIK
plus Ogłoszenie o konkursie na udzielanie świadczeń zdrowotnych w ramach umowy zlecenie 22_2023
plus Ogłoszenie o konkursie ofert na udzielanie świadczeń zdrowotnych w ramach umowy kontraktowej nr 56.2023 - pielęgniarka
minus Ogłoszenie naboru na stanowisko - pielęgniarka środowiskowa
plus Ogłoszenie o konkursie na udzielanie świadczeń zdrowotnych w ramach umowy zlecenie 23_2023-fizyk medyczny
minus Ogłoszenie naboru na stanowisko - Młodszy asystent
plus Ogłoszenie o konkursie ofert w ramach umowy kontraktowej nr 58/2023 - pielęgniarki, technik
plus Ogłoszenie o konkursie ofert w ramach umowy kontraktowej nr 57/2023 - lekarze
minus Ogłoszenie naboru na stanowisko Członek Komitetu Monitorującego Dane
plus Ogłoszenie o konkursie na udzielanie świadczeń zdrowotnych w ramach umowy kontraktowej 59_2023
plus Ogłoszenie o konkursie na udzielanie świadczeń zdrowotnych w ramach umowy zlecenie 24_2023
plus Ogłoszenie o konkursie ofert na udzielanie świadczeń zdrowotnych w ramach umowy kontraktowej nr 60.2023 - lekarze
plus Ogłoszenie o konkursie ofert w ramach umowy kontraktowej nr 1/2024 - lekarz-kier. Kliniki Orto. i Traum. Narządu Ruchu
minus Ogłoszenie o konkursie na udzielanie świadczeń zdrowotnych w ramach umowy kontraktowej 2/2024
minus Ogłoszenie naboru na stanowisko - Kierownik RCMC
minus Ogłoszenie naboru na stanowisko - Inspektor ochrony przeciwpożarowej
 Cennik Usług 4 WSKzP SPZOZ
minus Cennik usług 4WSK
 Raport nt. sytuacji ekonomiczno-finansowej
minus Raport za 2019r.
minus Raport za 2020r.
minus Raport za 2021 r.
minus Raport za 2022 r.
 Informacja o realizowanej strategii podatkowej
minus Informacja o realizowanej strategii podatkowej za rok 2020
minus Informacja o realizowanej strategii podatkowej za rok 2021
minus Informacja o realizowanej strategii podatkowej za rok 2022
A A A


 

Wrocław dnia 19.10.2010r. 
4 Wojskowy Szpital Kliniczny z Polikliniką SP Z.O.Z. we Wrocławiu, ul. Weigla 5
ogłasza przetarg nieograniczony w trybie art. 39 ustawy z dnia 29 stycznia 2004r. Prawo zamówień publicznych
 (t.j. Dz.U. z 2010r. Nr 113, poz.759) o wartości powyżej 125.000 EURO na:
,, Dostawę odczynników, kalibratorów i materiałów kontrolnych do oznaczania białek specyficznych metodą immunonefelometrii wraz z najmem analizatora przez okres 12 miesięcy”,
znak sprawy: 115/Med./2010
 
      1. Przedmiot zamówienia obejmuje dostawę odczynników, kalibratorów i materiałów kontrolnych do oznaczania białek specyficznych metodą immunonefelometrii wraz z najmem analizatora przez okres 12 miesięcy.
      2.Kody CPV: 336965000-0, PA01-7.
       3. Wymagany termin realizacji: Realizacja przedmiotu zamówienia w okresie: 12 miesięcy od daty zawarcia umowy.
     4.  Oferty należy złożyć w terminie do 30.11.2010r. do godz. 1000 w budynku Wydziału Administracji Ogólnej w pok. nr 18 (kancelaria).Otwarcie ofert nastąpi w dniu 30.11.2010r. o godz. 1100 w Sali Odpraw (budynek Logistyki) 4WSKzP SP ZOZ, ul. Weigla 5, Wrocław
      5. W przetargu mogą wziąć udział Wykonawcy, którzy:
·          spełniają warunki określone w art. 22 ust. 1:
- znajdują się w sytuacji ekonomicznej i finansowej zapewniającej wykonanie zamówienia – za spełnienie tego wymogu Zamawiający uzna posiadanie przez wykonawcę środków finansowych lub zdolności kredytowej w wysokości min. 125.000,00 zł (słownie: sto dwadzieścia pięć tysięcy złotych 00/100). Spełnienie powyższych wymogów będzie oceniane na podstawie złożonych dokumentów i oświadczeń, według formuły "spełnia - nie spełnia”.
·         - nie podlegają wykluczeniu z ubiegania się o zamówienie publiczne. Spełnienie wymogu będzie oceniane na podstawie złożonych dokumentów i oświadczeń (określonych w pkt 6 ogłoszenia) według formuły „spełnia – nie spełnia”.
·         - w przypadku Wykonawców wspólnie ubiegających się o udzielenie zamówienia: żaden z Wykonawców nie może podlegać wykluczeniu, sytuacja ekonomiczna i finansowa będzie oceniana łącznie.
Spełnienie powyższych warunków uczestnictwa oceniane będzie na podstawie dokumentów i oświadczeń określonych poniżej.
      6.   Wraz z ofertą Wykonawca winien złożyć następujące dokumenty i oświadczenia:
        a)       Oświadczenie wynikające z treści art. 44 PZP.
        b)       Oświadczenie o braku podstaw do wykluczenia z postępowania.
       c)        Aktualny odpis z właściwego rejestru, jeżeli odrębne przepisy wymagają wpisu do rejestru, w celu wykazania braku podstaw do wykluczenia, wystawione nie wcześniej niż 6 miesięcy przed upływem terminu składnia ofert. Jeżeli Wykonawca ma siedzibę lub miejsce zamieszkania poza terytorium Rzeczpospolitej Polskiej, przedkłada dokument wystawiony w kraju, w którym ma siedzibę lub miejsce zamieszkania potwierdzający, że nie otwarto jego likwidacji ani nie ogłoszono upadłości – wystawiony nie wcześniej niż 6 miesięcy przed upływem terminu składania ofert.
      d)       Aktualne zaświadczenie właściwego naczelnika Urzędu Skarbowego oraz właściwego oddziału Zakład Ubezpieczeń Społecznych lub Kasy Rolniczego Ubezpieczenia Społecznego potwierdzających odpowiednio, że Wykonawca nie zalega z opłacaniem podatków, opłat oraz składek na ubezpieczenie zdrowotne i społeczne, lub zaświadczeń, że uzyskał przewidziane prawem zwolnienie, odroczenie lub rozłożenie na raty zaległych płatności lub wstrzymanie w całości wykonania decyzji właściwego organu.
       e)       Aktualną informację z Krajowego Rejestru Karnego w zakresie określonym w art. 24 ust 1 pkt. 4 – 9 PZP.
       f)        Informacja banku lub spółdzielczej kasy oszczędnościowo-kredytowej, w którym Wykonawca posiada rachunek, potwierdzająca wysokość posiadanych środków finansowych lub zdolność kredytową Wykonawcy.
       g)      Jeżeli Wykonawca wykazując spełnianie warunku dotyczącego sytuacji ekonomicznej i finansowej polega na zdolnościach finansowych innych podmiotów, może skorzystać z dyspozycji art. 26 ust. 2b ustawy PZP i załączyć pisemne zobowiązanie podmiotów do oddania do dyspozycji Wykonawcy niezbędnych zasobów (środki finansowe) na okres korzystania z nich przy wykonaniu zamówienia (np. umowa określająca charakter współpracy). W przedmiotowym przypadku Wykonawca zobowiązany jest wykazać, że w stosunku do tych podmiotów brak jest podstaw wykluczenia z postępowania o udzielenie zamówienia, poprzez złożenie razem z ofertą odpowiednich dokumentów dotyczących każdego z tych podmiotów, o ile podmioty te będą brały udział w realizacji części zamówienia.
      h)      W przypadku gdy Wykonawca ma siedzibę lub miejsce zamieszkania poza terytorium RP, zastosowanie mają odpowiednio przepisy Rozporządzenia Prezesa Rady Ministrów z dn. 31.12.2009 w sprawie rodzajów dokumentów, jakich może żądać zamawiający od wykonawcy oraz form w jakich te dokumenty mogą być składane (Dz. U. z 2009r., Nr 226, poz. 1817), zwane dalej Rozporządzeniem.
       i)         W przypadku Wykonawców wspólnie ubiegających się o zamówienie:
 - dokument wymieniony w pkt.6 lit. a składają Wykonawcy wspólnie,
     - dokumenty określone w pkt.6 lit. b, c, d, e składa każdy z Wykonawców oddzielnie,
    - dokumenty określone w pkt. 6 lit. f i ewentualnie g składa przynajmniej jeden z Wykonawców występujących wspólnie.
      j)         W przypadku wyrobów medycznych Zamawiający żąda oświadczenia Wykonawcy, że będzie posiadał ważne i aktualne przez cały okres trwania umowy dopuszczenie do obrotu na każdy oferowany produkt - w postaci Deklaracji Zgodności wydanej przez producenta oraz Certyfikatu CE wydanego przez jednostkę notyfikacyjną (jeżeli dotyczy).- zgodnie z ustawą z dn. 20.04.2004r. o wyrobach medycznych (Dz. U. Nr 93, poz. 896).
      k)       W przypadku osób fizycznych zaleca się złożenie aktualnego wpisu do ewidencji gospodarczej w celu potwierdzenia umocowania do złożenia oświadczenia woli w imieniu Wykonawcy. W przypadku gdy, wykonawca ma siedzibę lub miejsce zamieszkania poza terytorium Rzeczypospolitej Polskiej zaleca się złożenie aktualnego dokumentu pozwalającego stwierdzić umocowanie do składania oświadczeń woli. Zamawiający zastrzega, że w przypadku wyboru oferty będzie żądał dostarczenia wyżej wymienionych dokumentów przed podpisaniem umowy.
       l)         Pełnomocnictwo w przypadku, gdy umocowanie do złożenia oświadczenia woli w imieniu Wykonawcy nie wynika z dokumentów wymienionych w pkt 6 lit. c i k.
      m)      Wzór umowy.
W sprawach nieuregulowanych odpowiednio zastosowanie mają przepisy Rozporządzenia       
 7.    Zamawiający nie dopuszcza możliwości składania ofert częściowych
       8.    Zamawiający nie dopuszcza składania oferty wariantowej.
       9.    Zamawiający nie przewiduje: zawarcia umowy ramowej, dynamicznego systemu zakupów, przeprowadzenia aukcji elektronicznej, zamówień uzupełniających, o których mowa w art. 67 ust. 1 pkt. 7 PZP.
      10.  Wykonawca ma obowiązek wnieść wadium w wysokości: 4.600,00 (słownie: cztery tysiące sześćset złotych, 00/100). Termin wniesienia wadium upływa w dniu składania ofert tj. dnia 30.11.2010r. godz. 1000.
       11.  Przy wyborze najkorzystniejszej oferty Zamawiający będzie kierował się następującym kryterium: Cena – waga 100%.
       12.  Termin związania z ofertą – 60 dni.
       13.  Ogłoszenie zostało przekazane Urzędowi Oficjalnych Publikacji Wspólnot Europejskich w dniu 19.10.2010r.
       14.  Osobami upoważnionymi do kontaktowania się z Wykonawcami są:
- Joanna Gajewska tel. (71) 7660 462, Sekcja Sprzętu Medycznegow sprawach przedmiotu zamówienia.
- Piotr Adamaszek tel./fax. (71) 7660 119, (71) 7660 550 Sekcja Zamówień Publicznych (budynek Logistyki) pok. nr 16 - w sprawach formalnych.
       15.     SIWZ w formie pliku do pobrania będzie dostępna na stronie internetowej (www.4wsk.pl) w dniu publikacji ogłoszenia o niniejszym postępowaniu w Dzienniku Urzędowym Unii Europejskiej.

Załączniki do pobrania: 2010-10-22 13:58:40 - SIWZ 115 Med 2010 (59.99 kB)
2010-10-22 13:59:54 - Załącznik nr 1 (16.84 kB)
2010-10-22 14:01:20 - Załącznik nr 2 (20.03 kB)
2010-10-22 14:03:40 - Załącznik nr 3 (15.91 kB)
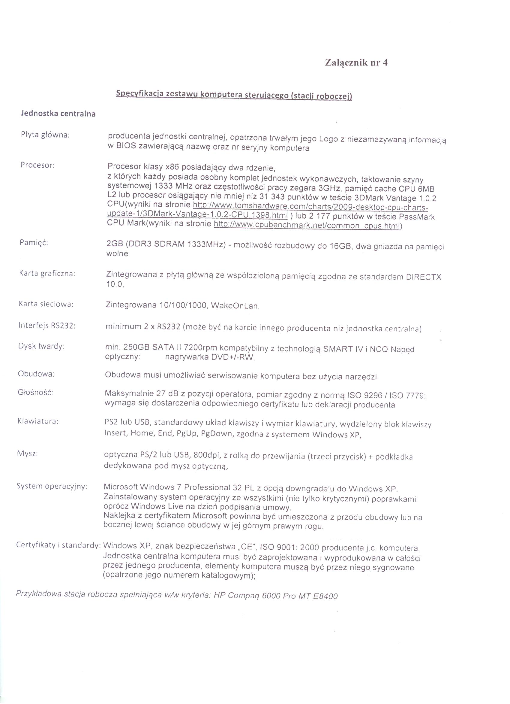
2010-10-22 14:05:19 - Załącznik nr 4 cz 1 (317.89 kB)
2010-10-22 14:07:30 - Załącznik nr 4 cz 2 (123.33 kB)
2010-10-22 14:09:14 - Załącznik nr 5 (121.14 kB)
2010-10-22 14:10:45 - Załącznik nr 6 cz 1 (262.02 kB)
2010-10-22 14:12:12 - Załacznik nr 6 cz 2 (194.99 kB)
2010-10-22 14:13:41 - Załącznik nr 7 (34.05 kB)
2010-10-22 14:15:02 - Załącznik nr 8 (14.23 kB)
2010-10-25 07:26:58 - Załącznik nr 9 (24.50 kB)

Nazwa dokumentu: 115/Med./2010 Dostawa odczynników, kalibratorów i materiałów kontrolnych do oznaczania białek specyficznych metodą immunonefelometrii wraz z najmem analizatora przez okres 12 miesięcy
Osoba, która wytworzyła informację: Piotr Adamaszek
Osoba, która odpowiada za treść: Piotr Adamaszek
Osoba, która wprowadzała dane: Piotr Adamaszek
Data wytworzenia informacji: 2010-10-19 10:06:55
Data udostępnienia informacji: 2010-10-19 10:06:55
Data ostatniej aktualizacji: 2010-10-25 07:28:00

Wersja do wydruku...

corner   corner